메뉴 버튼

마이페이지

Message Board

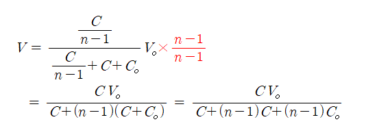
[온라인강의] 1-57page 문제48번
한*석2025.09.26답변완료

교수님 말씀대로 답 외우는 것도 중요하지만 식에 대해 이해하고 싶어서 이해 하지 못한 부분에 대해서 문의드립니다.

 

답변윤종식2025.09.28 16:04

안녕하세요 한반석님 

질의하신 부분은 아래와 같습니다.

열공하세요.

TOP