한솔아카데미 로고 전기기사 산업기사

전체메뉴
전기기사 · 산업기사 전체메뉴 보기
전기(산업)기사 학습게시판 강의수강 중 학습관련 질의응답 한솔아카데미 합격 선배의 생생한 합격수기를 제공합니다.

학습Q&A

HOME > 학습게시판 > 학습Q&A

글보기
제목
1-57page 문제48번
질문유형 온라인강의 > 전기기사필기 5주완성 종합반 > 윤종식
글쓴이 한*석 등록일 2025.09.23 답변상태 답변완료
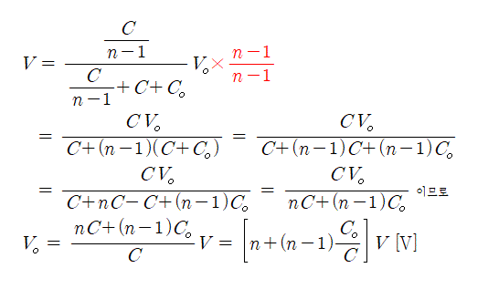
  • 지금 풀이식을 디테일하게 정답이 도출 되기까지 적어주셨으면 감사하겠습니다.

  • 윤종식 |(2025.09.26 14:26)

    안녕하세요 한반석님

    질의하신 내용은 아래와 같습니다.

    위와 같은 문제는 답만 보시고 가는 것이 좋습니다.

    열공하세요.

첨부파일

목록

위로