한솔아카데미 로고 전기기사 산업기사

전체메뉴
전기기사 · 산업기사 전체메뉴 보기
전기(산업)기사 학습게시판 강의수강 중 학습관련 질의응답 한솔아카데미 합격 선배의 생생한 합격수기를 제공합니다.

학습Q&A

HOME > 학습게시판 > 학습Q&A

글보기
제목
4-155 51번 문제 질문입니다.
질문유형 온라인강의 > 전기기사필기 5주완성 종합반 > 이승원
글쓴이 윤*환 등록일 2025.11.13 답변상태 답변완료
  •  

    교수님

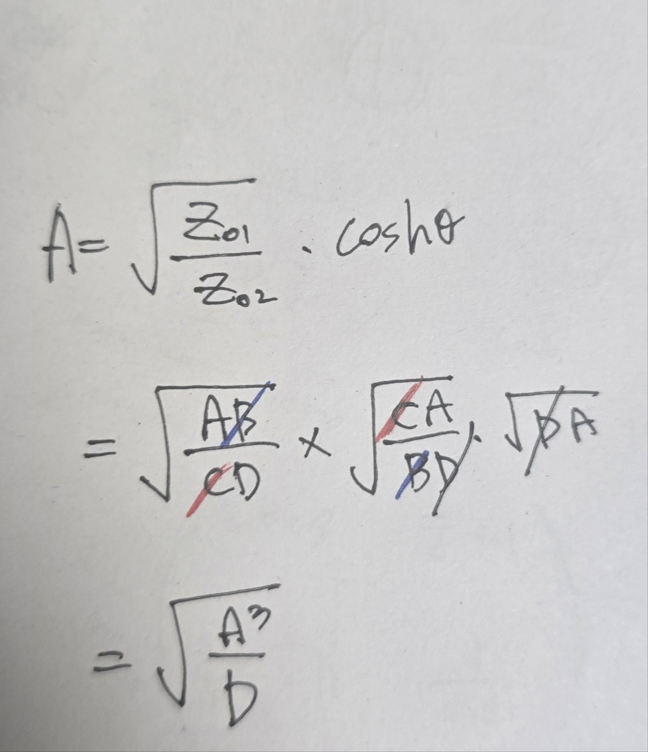
    다음처럼 51번 문제의 정수    A를 계산해봤습니다.

     

    그러니까  A로 안 나오고 "루트(에이 삼승 나누기 디)" 가 나옵니다.

     

    이렇게 계산하는 게 아닌 건가요???

  • 학습관리자 |(2025.11.14 14:56)

    안녕하세요~~ 회원님^^

    4단자 정수 공식에서 Z_01, Z_02, 그리고 θ 공식을 유도할 때 근사 조건들을 사용하여 계산하기 때문에 서로의 상관관계를 등가회로 관계로 해석하시면 다음과 같은 부등식의 결과가 나오기 때문에 4단자 정수와 영상임피던스, 전달정수 등은 각각 별개의 공식을 기억해 두셔야 합니다~

    참고로 coshθ=√AD 가 되는 결과식은 

    A=√(Z_01)/(Z_02)*coshθ 식과 D=√(Z_02)/(Z_01)*coshθ 식을 곱해서 나오는 결과입니다~

    AD=(coshθ)^2 식에서 coshθ=√AD 식이 증명됩니다~

    위의 조건에서 이미 영상임피던스가 소거된 상태에서의 결과이기 때문에 전달정수로의 표현과 영상임피던스로의 표현이 상이하다는 것을 짐작할 수 있습니다~

    회원님께서 증명하신 조건으로 이 식을 다시 원래 식으로 대입하여 A결과나, D결과를 구하면 결국 A=D 와 같은 대칭조건의 결과가 나오게 되기 때문에 두가지의 경우의 식을 등가 관계로 해석하면 안된다는 것이 또한번 증명된 샘입니다~

    따라서 결국 영상임피던스 공식과 coshθ, sinhθ 공식은 별개의 공식으로 적용하셔야 합니다~

첨부파일

목록

위로